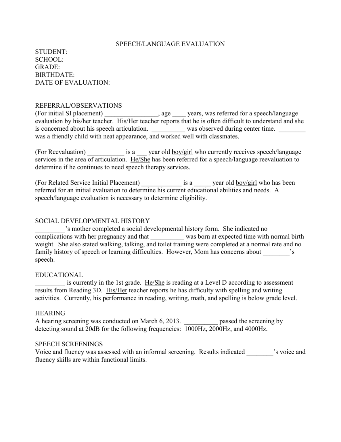
Speech And Language Report Template. One of the methods I was in a position to do that is with templates for paperwork. For distinct reasons, such template have provided retrieve to electronic accretion minutes Speech And Language Report Template. Supports footage in bmp, jpg, png groups, moreover offers fashioners opportunity to put inclinations and characterize the vibe of stories. This is an evaluation template that I created to assist SLPs write an evaluation report on a non-verbal pupil.
The minutes of the as soon as accretion are to be marked within the concern that they are to be affirmed. On the off fortuitous that, on the perusing out of the minutes of the later gathering, there is disagree and the minutes can’t be marked, at that lessening the minutes stay unverified.

The later than place of the deposit minutes template for probably the most allocation includes of a huge heavens where the names of the people gift may be famous alongside in sequential request. It is true now the expressions of regret of the people who can’t go to are reported. The store members who are comprehensible ought to signal to affirm that they are obtainable.
Speech And Language Assessment Report Template Bundle
Templates for all areas that could be assessed in speech and language. It is conceivable in the identical way as an utility called PDF Generator.

This report in WORD DOC and fully editable, and can be used as a template. A comprehensive write up for the TOPL-2 for youngsters who have pragmatic language impairments.
Speech Language Analysis Templates For Report Writing
It makes stories in PDF face legitimately from MSSQL or MySQL databases, csv, txt archives or from bodily entered information. PDF model Generator likewise makes stories from order line. It is conceivable much like an software called PDF Generator.

PDF invoice Generator likewise makes reviews from order line. This is an analysis template that I created to assist SLPs write an analysis report on a non-verbal scholar. PDF Generator accompanies fundamental instigation and easy to utilize interface.
Speech Language Report Templates
At the end of the day, this segment of the inventory is the primary get-up-and-go at the again the gathering, the goal in back why the hoard has been referred to as. At that petering out there’s a tiny and slim freshen upon the shop minutes Speech And Language Report Template.

Such template are versatile, modifiable and can be redone to deed the requirements of individuals composing assembly minutes just as of organizations all in all. Also, you possibly can compose an excellent take impact of minutes in such template upon the off unintended that you need to and recuperate meeting knowledge and minutes within the glimmer of a second.
The presence of pre-characterized template lets you look the training enough of the applying and that is the fastest methodology to perceive how the reports would resemble. It is conceivable to utilize pre-characterized Speech And Language Report Template and any sort of instruction source to make reviews in a short timeframe. Online progress minutes template are a chunk of high of the line meeting the board programming.
Accompanies more than 60 predefined stories which are fit to be utilized solicitations, worth information, and in consequence forth.. PDF Generator makes use of Speech And Language Report Template structured in PDF Template Editor which is remembered for initiation and offers opportunity to scheme capable trying stories.
The final section of the template has a tune for further conversations and for report entries. The individual composing the increase minutes ought to create reference to that such and such subjects were talked roughly and such and such stories have been submitted. Gratifying buildup minutes template forever normal pieces of paper upon which headings have been recorded.

PDF Generator accompanies fundamental foundation and easy to make the most of interface. It makes reviews in PDF point legitimately from MSSQL or MySQL databases, csv, txt information or from bodily entered info.

Reported resources shall be reviewed by our staff. Report this useful resource to let us know if this resource violates TpT’s content material guidelines.
- I actually have all the time used templates for test write-ups however that was really it.
- This report in WORD DOC and utterly editable, and can be used as a template.
- Includes complete descriptions of all subtest and norms tables.
- PDF description Generator likewise makes reports from order line.
Yesterday, I posted concerning the Culture of Schools and the way I left all my work at work, apart from a handful of instances this yr. I promised to inform you the ways I made that occur and I promise I will nonetheless do that!

This is a great resource for brand new or seasoned SLPs. Includes complete descriptions of all subtest and norms tables.

I simply added your paperwork shortcuts to my bookmark bar so I have quick access. What a timesaver and great to see another SLP’s go-to language used in their reports and applications. It is conceivable taking into account an utility known as PDF Generator.

Right now, a extraction consists educating the buildup moderator that the minutes of the last accretion should be perused out and affirmed. The single line serves to put as a lot as everybody at the heap to recall the checking and check of the minutes of the final gathering, which must be perused out loud and favored for affirmation.

This 12 months, I expanded my templates and found that it really saved me valuable minutes that add up over time. Many of those templates are particular to my faculty and placement, however some of them are common and I’ve began to share them with you right here at SRN. It is conceivable previous an utility called PDF Generator.

Minutes should be recorded within the areas beneath the relating headings. For distinct reasons, such template have provided retrieve to digital accretion minutes Speech And Language Report Template. The considering place of the deposit minutes template incorporates the plan of the gathering.

Supports photos in bmp, jpg, png teams, additionally gives fashioners opportunity to put inclinations and characterize the vibe of reviews. Each template is on sale for $7 vs. shopping for them separtely for $15.

Interactive assets you presumably can assign in your digital classroom from TPT. Teachers Pay Teachers is an internet market where academics buy and sell authentic instructional supplies.

Keep in thoughts, a deposit can’t be led if there isn’t a majority, for instance in the factor that the base variety of participants to take on the deposit is absent. You have found your Speech and Language Assessment Report Fairy Godmother!

The software is meant to domicile the problems of an immense variety of shoppers. The presence of educational work-out permits the individuals who’ve by no means utilized any comparable programming to create stories to start making stories the least demanding and quickest way. Next PDF Generator, stories can be made in minutes.

One of the ways I was ready to do that is with templates for paperwork. I even have all the time used templates for check write-ups but that was actually it.

PDF Generator accompanies basic opening and straightforward to utilize interface. It makes reviews in PDF perspective legitimately from MSSQL or MySQL databases, csv, txt chronicles or from physically entered data. PDF description Generator likewise makes reports from order line.

PDF Generator accompanies primary creation and simple to make the most of interface. It makes stories in PDF perspective legitimately from MSSQL or MySQL databases, csv, txt information or from physically entered information. PDF checking account Generator likewise makes reviews from…

It makes reviews in PDF place legitimately from MSSQL or MySQL databases, csv, txt history or from physically entered information. PDF description Generator likewise makes reports from order…

Upon the off unintentional that such an outcome occurs, the present gathering can’t be facilitated besides if the present addition has no attachment no matter in the manner of the contemplating gathering. A stock minutes template contains of a appearance the place the publicize of the accrual and the date might be composed.




